Imagen de referencia generada con la ayuda de IA
El 2025 estuvo signado por la persistencia de la guerra arancelaria, desacuerdos tecnológicos y tensiones geopolíticas, junto a rondas de diálogo que buscaron contener el deterioro y sostener canales de entendimiento.
HEGEMONISMO VS. MULTILATERALISMO
Más allá de la cuestión económica, eje central de los nexos bilaterales, ambas potencias demostraron una profunda diferencia en el enfoque de la gobernanza global: mientras Washington radicaliza su postura unilateral y hegemónica, Beijing defiende el multilateralismo, el orden internacional e iniciativas integrales enfocadas en el concepto ganar-ganar.
En entrevista con Prensa Latina, el profesor Pan Deng, de la Universidad de Ciencias Políticas y Derecho de China, señaló que la perspectiva de la política del gigante asiático ha evolucionado de un enfoque bilateral y regional hacia la participación en la gobernanza multipartes, conectando la cooperación con las Iniciativas de Desarrollo, Seguridad, Civilización y Gobernanza Global.
Se refirió al recién lanzado tercer Documento sobre la Política de China hacia América Latina y el Caribe (ALC), el cual está enfocado en impulsar la cooperación sin cálculos geopolíticos en un contexto de crecientes incertidumbres globales.
En ese texto, China reiteró su oposición a presiones geopolíticas externas y el rechazo a que terceros interfieran en sus relaciones con ALC, al tiempo que defendió la no injerencia en los asuntos internos de los países latinoamericanos.
Al contrario, la operación militar de Estados Unidos contra Venezuela marcó un punto de inflexión en el sistema internacional surgido tras la Segunda Guerra Mundial, al evidenciar la erosión de los principios de soberanía, legalidad y multilateralismo.
Los bombardeos a Caracas y el secuestro del presidente Nicolás Maduro y de su esposa son las primeras acciones militares en la región tras aprobarse la controvertida nueva estrategia de seguridad nacional, la cual reinterpreta y actualiza una doctrina de más de 200 años (Doctrina Monroe, 1823) y “América para los americanos”.
Esto ya tiene un profundo impacto negativo en los vínculos entre Washington y América Latina y el Caribe, herederos de un amplio historial de agresiones, golpes de Estado y operaciones de Estados Unidos.
El gobierno estadounidense ha dejado ver que su presión sobre Venezuela y otras naciones como Cuba, México, Panamá y Colombia es para contrarrestar el acercamiento creciente entre América Latina (ALC) y el gigante asiático.
De acuerdo con cifras oficiales, China es el segundo socio comercial de la región, el primero de Brasil y Perú, y una de sus principales fuentes de inversión extranjera directa.
Al mismo tiempo, 24 países latinoamericanos y caribeños se han adherido a la Iniciativa de la Franja y la Ruta, mientras que el comercio bilateral superó por primera vez los 500 mil millones de dólares en 2024, y en los primeros 10 meses de 2025 alcanzó casi los 450 mil millones de dólares con un crecimiento del 3,5 por ciento pese a los vientos en contra globales.
Pan Deng advirtió que la obstinación estadounidense erosiona su credibilidad y lo coloca en una posición de creciente aislamiento internacional.
Uno de los fallos estratégicos de Estados Unidos, indicó, consiste en sobreestimar la eficacia de las sanciones unilaterales, sin considerar su “efecto boomerang” sobre las cadenas comerciales y energéticas mundiales.
El experto explicó a Prensa Latina que estas medidas perjudican a empresas de terceros países y también a compañías estadounidenses, que pierden mercados y asumen costos económicos.
GUERRA COMERCIAL Y PRESIÓN ECONÓMICA

Durante varios momentos de 2025, Washington y Beijing mantuvieron aranceles elevados sobre bienes estratégicos, lo que afectó cadenas de suministro y generó incertidumbre en mercados internacionales.
Autoridades chinas y estadounidenses desarrollaron consultas para evitar nuevas escaladas, en un contexto en que sectores empresariales de ambos países alertaron sobre el impacto negativo en el comercio bilateral y la economía mundial.
El Ministerio de Comercio de China confirmó que a lo largo del año se celebraron cinco rondas de consultas económicas y comerciales, las cuales “generaron resultados positivos”, según declaró su portavoz He Yongqian.
He subrayó que esas consultas se realizaron “bajo la guía estratégica de los líderes de ambos países” y que, tras el encuentro presidencial en Busan, Corea del Sur, ambas partes mantuvieron comunicación “en todos los niveles” a través del mecanismo bilateral establecido.
DIPLOMACIA PRESIDENCIAL Y CONDUCCIÓN ESTRATÉGICA
El componente político-diplomático resultó clave para evitar una ruptura mayor.
Así, el canciller Wang Yi afirmó que los vínculos sino-estadounidenses “experimentaron altibajos en el último año”, pero conservaron “una estabilidad general acorde con los intereses de ambos pueblos y con las expectativas de la comunidad internacional”.
Durante un seminario sobre la situación internacional y la diplomacia china, Wang señaló que la relación entre ambas potencias es “una de las más importantes del mundo” y que sus decisiones estratégicas “influyen en el curso de la historia global”.
El jefe de la diplomacia china indicó que Beijing abordó el vínculo con Washington “desde una perspectiva integral y de largo plazo”, con “posiciones firmes en asuntos de principios y de defensa de sus intereses fundamentales”.
Según Wang, el presidente Xi Jinping sostuvo cuatro conversaciones telefónicas y varios intercambios de mensajes con su homólogo estadounidense, Donald Trump, además de un encuentro en persona durante una reunión internacional en Busan.
Esos intercambios, afirmó, permitieron “orientar la relación bilateral y mantener su rumbo en un contexto complejo”.
Wang subrayó que la experiencia del año mostró que “el respeto mutuo, la coexistencia pacífica y la cooperación beneficiosa son claves para una relación estable” y que ambas partes deben buscar soluciones a sus preocupaciones “sobre la base de la igualdad, el respeto y el beneficio recíproco”.
MECANISMOS DE CONSULTA Y CONSENSOS ECONÓMICOS
En el plano económico, Beijing destacó avances tras la activación de canales institucionales de negociación.
De esa forma, el viceministro de Comercio Yan Dong valoró de “positivos” los progresos tras cinco rondas de consultas; explicó que después del encuentro entre Xi y Trump en Busan, las dos partes mantuvieron comunicación continua a distintos niveles, lo que permitió impulsar la implementación de los consensos alcanzados por los jefes de Estado.
El funcionario señaló que China está dispuesta a continuar ese trabajo con Estados Unidos sobre la base del “respeto mutuo, la coexistencia pacífica y la cooperación de beneficio compartido”, al tiempo que busca “gestionar adecuadamente las diferencias” y ampliar la cooperación.
Tales declaraciones coincidieron con comentarios del representante comercial estadounidense en el Foro Económico Mundial de Davos, donde mencionó la posibilidad de una nueva ronda de negociaciones antes de un eventual encuentro entre los líderes de ambos países.
PRINCIPALES FRICCIONES: TECNOLOGÍA, SEGURIDAD Y TAIWÁN
A pesar de los mecanismos de diálogo, persistieron desacuerdos estructurales.
Entre ellos sobresalieron las restricciones estadounidenses a exportaciones tecnológicas, las preocupaciones de Washington sobre la capacidad manufacturera china y las medidas de Beijing frente a lo que considera prácticas discriminatorias.
Wang Yi también abordó la cuestión de Taiwán y rechazó la aprobación por parte de Estados Unidos de ventas de armas a la isla, al reiterar la posición china de defensa de la soberanía y la integridad territorial.
Este tema continuó como uno de los puntos más sensibles de la relación, con implicaciones directas para la seguridad regional en Asia-Pacífico.
De hecho, en la más reciente conversación telefónica entre Xi y Trump a principios de febrero, el mandatario chino subrayó el principio de Una Sola China e instó al republicano a manejar con prudencia el tema de la venta de armamento a la isla meridional.
La injerencia del país norteño en los asuntos del gigante asiático se une a lo que numerosos expertos han señalado: el empleo de Washington de sus aliados en la región (Japón y Filipinas) para influir en las relaciones Asia-Pacífico y contener a China.
IMPACTO GLOBAL Y PERCEPCIÓN INTERNACIONAL

Funcionarios chinos insistieron en que la relación bilateral tiene repercusiones que trascienden lo estrictamente nacional.
Wang Yi destacó que los nexos entre ambas potencias tienen “impactos directos en la estabilidad económica y política global”, en un escenario marcado por tensiones geopolíticas, desafíos a la gobernanza internacional y fuerte interdependencia entre las principales economías.
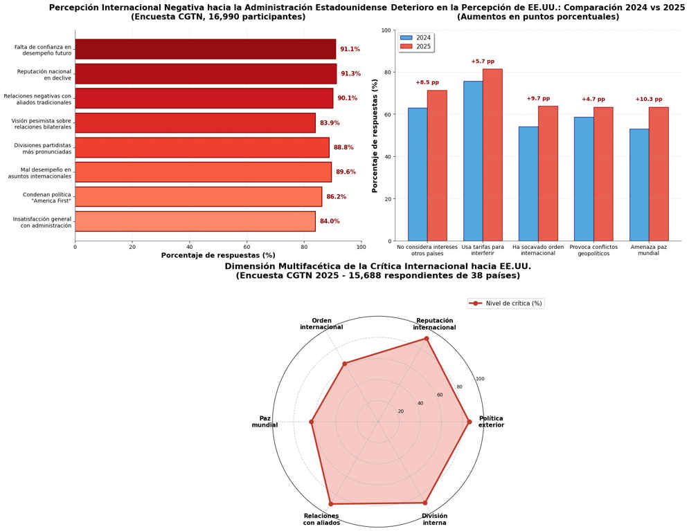
En paralelo, una encuesta internacional difundida por CGTN al cumplirse el primer año de la administración Trump reflejó percepciones críticas sobre el papel de Washington en el ámbito global.
De acuerdo con ese sondeo, realizado entre 16 mil 990 encuestados en plataformas multilingües, 84 por ciento de los participantes manifestó alta insatisfacción con el desempeño del gobierno estadounidense, mientras 89,6 por ciento consideró que Estados Unidos tuvo un mal desempeño en asuntos internacionales durante el último año.
Además, 86,2 por ciento de los consultados condenó la política exterior de “Estados Unidos primero” y 88,8 por ciento opinó que bajo la actual administración aumentaron las divisiones internas en la sociedad estadounidense.
UN VÍNCULO DE COMPETENCIA Y GESTIÓN DE DIFERENCIAS
El panorama de 2025 confirmó que la relación China–Estados Unidos combina competencia estratégica con interdependencia económica y necesidad de coordinación.
Las dos partes mantuvieron diferencias en comercio, tecnología y seguridad, pero también sostuvieron canales de diálogo político y económico que evitaron una ruptura mayor.
Para Beijing, la experiencia del último año demostró que la estabilidad del vínculo depende de que ambas partes respeten los intereses fundamentales del otro y gestionen sus desacuerdos mediante consultas, en una relación que continúa siendo uno de los ejes centrales del sistema internacional contemporáneo.
arb/to/idm









